crwdns2933423:0crwdne2933423:0

The smaller, economical version of Samsung's tenth flagship Galaxy phone, released in February 2019. Shipped with Android 9.0 (Pie).

S10e water damage repair

Family friend dropped their phone into water whilst on holiday. When they got back I had a go at taking it apart, drying it out properly etc but no luck. The phone itself is a write off and they've already got a new one, but I am trying to get it running long enough just to get their holiday photos off of the device. They don't have hundreds and hundreds of pounds to spare so going to a professional is not possible, but I am happy to chuck some money in to get replacement parts.

Phone itself shows no sign of life, no noise, vibration or anything on screen at all, despite trying to turn on, reset etc. I've got a repair manual and first thing it says is to check the battery voltage, which was coming back as 0V. I've bought a replacement battery and that shows 3.8V but still no luck. I want to make sure I am measuring the battery properly (currently doing it when disconnected via the connector on the end of the ribbon cable).

I was wondering what the next steps would be, if any are possible? Or failing that anyway to get the data off of the device, but I assume that will be difficult/impossible as it will be encrypted.

crwdns2934089:0crwdne2934089:0 crwdns2934093:0crwdne2934093:0

crwdns2934109:0crwdne2934109:0

crwdns2889612:0crwdne2889612:0 0
crwdns2934285:0crwdne2934285:0

crwdns2933315:02crwdne2933315:0

crwdns2934057:0crwdne2934057:0

you would need to look more at the motherboard and forget about the battery atm, there is probably a short somewhere, also the chances are the screen is dead. the memory ic and the cpu are paired so they both need to be working to access data. if they want i can take a look at it to see if its even repairable. i dont charge a fortune. this is my facebook page https://www.facebook.com/Technirepair

crwdns2934105:0crwdne2934105:0

crwdns2889612:0crwdne2889612:0 1
crwdns2934285:0crwdne2934285:0

Hi @buncieboy343

What was the time frame between when it fell in the water and when you "... had a go at taking it apart, drying it out properly etc"? Also what did "...properly etc" entail?

The impurities in the water causes corrosion and provides circuit paths for the electricity which were not in the phone's operating design and could damage the components. The corrosion starts immediately and is ongoing until it is completely cleaned away.

The longer it is left without being cleaned properly, the worse it will be, especially if the battery is still connected to the systemboard and if the phone has been charged or tried to be turned on before it is cleaned

Did you disassemble the phone and clean all the affected parts using Isopropyl Alcohol 99%+ (available at electronics parts stores) to remove all traces of corrosion?

If not perhaps you should check the boards, under any shields that may be covering components, flex cable ends and connectors again for any trace of corrosion or component damage.

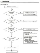
Here's an image of the Power On troubleshooting flowchart from the service manual that shows what to do. The manual also has the board layout so that you can find all the components mentioned in the flowchart.

Block Image

(click on image)

Hopefully a start.

ps. I assume that they didn't save their photos automatically to the cloud by any chance?

crwdns2934105:0crwdne2934105:0

crwdns2889612:0crwdne2889612:0 1

crwdns2944067:06crwdne2944067:0:

It was 3 or 4 days (not ideal I know but they were half way around the world :( ). Yeah took the phone apart fully, took the board out and cleaned with Isopropyl, left to dry and then tested reassembling. The only thing I didn't do was to remove the shields as I couldn't find a detailed guide on how to do that properly without further damage, but happy to try that if its worth a shot.

That's the guide I was using when I decided next step was battery replacement, the part that confused me was "Even if changed the battery, the battery voltage has not reached, replace the PBA", is that still measuring the battery voltage from the ribbon cable, or should I be measuring it when attached to the PBA?

Thanks!

crwdns2934271:0crwdnd2934271:0crwdne2934271:0

@buncieboy343

They're checking to see if the battery is charging so it would be when it is attached

crwdns2934271:0crwdnd2934271:0crwdne2934271:0

Just seen your ps about the cloud, unfortunately where they were abroad on a limited connection nothing got backed up.

In terms of next steps is the best thing to do to remove the shields and clean under there? If so do you know how I might go about removing them? I assume they need re-attaching before attempting to boot again?

crwdns2934271:0crwdnd2934271:0crwdne2934271:0

@buncieboy343

Do know the model but either they're soldered onto the board or locked in some other way.

Initially you could leave them off just long enough to get it going, just try not touching them, ESD etc

crwdns2934271:0crwdnd2934271:0crwdne2934271:0

@buncieboy343

Another ps ;-)

They didn't save the photos to the SD Card either perhaps?

crwdns2934271:0crwdnd2934271:0crwdne2934271:0

crwdns2934273:01crwdne2934273:0

crwdns2934285:0crwdne2934285:0

crwdns2934229:0crwdne2934229:0

buncieboy343 crwdns2934231:0crwdne2934231:0
crwdns2936625:0crwdne2936625:0:

crwdns2936751:024crwdne2936751:0 1

crwdns2936753:07crwdne2936753:0 11

crwdns2936753:030crwdne2936753:0 25

crwdns2942667:0crwdne2942667:0 657